概要

分巻式直流電動機は、左図のように、励磁回路が主回路と並列に接続されている直流電動機です。
特徴
・ほぼ一定速度の電動機が出来る
・速度特性、トルク特性は他励式と同じ
用途
負荷の大きさによらず、一定速度で回転する特性を得られます。
しかし、一定速度で回転する電動機は、三相誘導電動機で容易に作れることから、あまり実用されていないようです。
三相誘導電動機の方が電源を準備しやすく、メンテナンスコストも抑えられるため、どちらを使用するかを比較すると、三相誘導電動機の方が良いことが多いようです。
公式まとめ
電圧の基本式
\(V=E+I_aR_a\)
負荷電流の基本式
\(I=I_a+I_f\)
逆起電力の重要式(参考:直流機の回転数のページ)
\(E=K \Phi N\)
速度特性式(導出すれば良いので覚える必要はない)
\(\displaystyle N=\frac{V-I_aR_a}{K \Phi}\)
トルク特性式(参考:直流機のトルクのページ)
\(T=K_T \Phi I_a\)
記号の意味一覧
\(V[V]\):入力電圧
\(E[V]\):電機子導体に発生する逆起電力
\(I_a[A]\):電機子電流
\(I_f[A]\):励磁電流
\(R_a[Ω]\):電機子導体の抵抗
\(N[min^{-1}]\):1分間あたりの回転数
\(T[Nm]\):トルク
\(\Phi[Wb]\):励磁回路で作り出した界磁磁束
\(K\):比例定数(速度特性)
\(K_T\):比例定数(トルク特性)
回路と特性
回路図
直流機の構造図から、回路図に書き変えると、次のようになります。

➡

回路図から分かること
・励磁電流\(I_f\)も、電機子電流\(I_a\)も、同じ電源\(V\)から供給されている。
・励磁電流\(I_f[A]\)が、入力電圧\(V[V]\)にしか依存しない。
➡界磁磁束\(\Phi[Wb]\)が、負荷の大きさに関わらず一定。
速度特性
主回路の電圧の基本式は、直流機の回路図から次の①式であることがわかります。
\(V=E+I_aR_a\) …①
直流機が回転することによって発生する逆起電力\(E[V]\)は、磁束\(\Phi[Wb]\)と、回転数\(N[min^{-1}]\)に比例するので、比例定数を\(K\)とすると、②式で表されます。
\(E=K \Phi N\) …②
②式を①式に代入し、回転数について整理すると、
\(V=K \Phi N+I_aR_a\)
⇔ \(\displaystyle N=\frac{V-I_aR_a}{K \Phi}\) …③
負荷電流\(I_a\)-回転数\(N\)特性

③式について
・負荷電流\(I_a[A]\)を横軸
・回転数\(N[min^{-1}]\)を縦軸
としてグラフ化すると、左図の通りになります。
無負荷の時に、回転数は最大となります。
(\(N_0=\frac{V}{K \Phi}[min^{-1}]\))
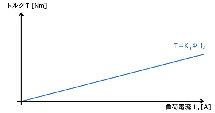
トルク特性
主回路と励磁回路は電源に並列に接続するので、界磁磁束\(\Phi[Wb]\)は主回路の回転数によらず一定です。
そのため、トルク特性は次式のようにシンプルに表記できます。
\(T=K_T \Phi I_a\) …④

④式をグラフ化すると、左図の通りになります。
負荷が重くなるほど、回転させるために必要なトルク\(T[Nm]\)が増加し、負荷電流\(I_a[A]\)も増加します。
速度とトルクの釣り合い
回転数とトルクは、負荷によってどのように決まるかを考えます。

負荷を動かすための要求トルクが\(T_1[N]\)とします。
このとき、トルクの式
\(T=K_T \Phi I_a\)
から、負荷電流\(I_a\)が決まります。
負荷電流が決まると
\(N=\frac{V-I_aR_a}{K \Phi}\)
から、回転数\(N\)も決まります。
次に、負荷が変化した時を考えます。

グラフの見方
負荷が小さくなって要求トルクが\(T_2\)になると、負荷電流\(I_a\)が減少し、回転数\(N\)が増加します。
負荷が大きくなって要求トルクが\(T_3\)になると、負荷電流\(I_a\)が増加し、回転数\(N\)が減少します。
グラフから分かること
他励式直流電動機は、トルクの変化による負荷電流\(I_a\)の変化は、比例の関係です。
負荷電流\(I_a\)が変化しても、巻線抵抗による電圧降下分(\(I_aR_a\))しか回転数に寄与しません。
したがって、回転数は負荷の大きさが変化しても、ほとんど変動しないということがわかります。
関連記事
参考書
イラストがとても多く、視覚的に理解しやすいので、初学者に、お勧めなテキストです。
問題のページよりも、解説のページ数が圧倒的に多い、初学者に向けの問題集です。
問題集は、解説の質がその価値を決めます。解説には分かりやすいイラストが多く、始めて電気に触れる人でも取り組みやすいことでしょう。
本ブログの管理人は、電験3種過去問マスタを使って電験3種を取りました。
この問題集の解説は、要点が端的にまとまっていて分かりやすいのでお勧めです。
ある程度学んで基礎がある人に向いています。
電験三種の領域をずっと超えた先の話を9割方しているので、電験三種の勉強の参考書としての購入はおすすめしません。
直流電動機について、ありとあらゆる事を書き記していった一冊です。
この本より詳しい本は少ないと思いますので、直流電動機の設計を学ぶ人に取っては良い本かと思われます。
感覚的には、研究論文化する内容ではないけど、後世には残しておきたいと思ったことをまとめたというような感じでしょうか。
文章の癖は強いので、もし買う場合はサンプルを読んでから購入することを推奨します。













コメント