概要
直流他励電動機の基本的な回路構成と、速度制御に関する論説問題です。
(エ)の選択肢が、速度制御方法の一つである界磁制御法について理解していないと回答できないため、少々難易度は高いかもしれません。
キーワード
直流他励電動機、速度制御方法、界磁制御法、電圧制御法
問題
次の文章は、直流他励電動機の制御に関する記述である。
ただし、鉄心の磁気飽和と電機子反作用は無視でき、また、電機子抵抗による電圧降下は小さいものとする。
a 他励電動機は、 \(\fbox{(ア)}\) と \(\fbox{(イ)}\) を独立した電源で制御できる。
磁束は \(\fbox{(ア)}\) に比例する。
b 磁束一定の条件で \(\fbox{(イ)}\) を増減すれば、 \(\fbox{(イ)}\) に比例するトルクを制御できる。
c 磁束一定の条件で \(\fbox{(ウ)}\) を増減すれば、 \(\fbox{(ウ)}\) に比例する回転数を制御できる。
d \(\fbox{(ウ)}\) 一定の条件で磁束を増減すれば、ほぼ磁束に反比例する回転数を制御できる。
回転数の \(\fbox{(エ)}\) のために \(\fbox{(ア)}\) を弱める制御がある。
このように広い速度範囲で速度とトルクを制御できるので、直流他励電動機は圧延機の駆動などに広く使われてきた。
上記の記述中の空白箇所(ア)~(エ)に当てはまる組み合わせとして、正しいものを次の(1)~(5)のうちから一つ選べ。
| (ア) | (イ) | (ウ) | (エ) | |
|---|---|---|---|---|
| (1) | 界磁電流 | 電機子電流 | 電機子電圧 | 上昇 |
| (2) | 電機子電流 | 界磁電流 | 電機子電圧 | 上昇 |
| (3) | 電機子電圧 | 電機子電流 | 界磁電流 | 低下 |
| (4) | 界磁電流 | 電機子電圧 | 電機子電流 | 低下 |
| (5) | 電機子電圧 | 電機子電流 | 界磁電流 | 上昇 |
答え
(1)
解説テキスト リンク
回答解説
a~dの文章ごとに解説していきます。
a 他励電動機は、 \(\fbox{(ア)}\) と \(\fbox{(イ)}\) を独立した電源で制御できる。
磁束は \(\fbox{(ア)}\) に比例する。
各電源が作る回路をわかりやすく示すため、他励電動機の回路図を描きます。

他励電動機の界磁磁束\(\Phi\)は、界磁電流\(I_f\)に比例するので、\(\fbox{(ア)}\)=界磁電流です。
そして、界磁電流\(I_f\)は、界磁電圧\(V_f\)を増減させることで制御できます。
次に、電機子電流\(I_a\)は、もう一つの電源である電機子電圧\(V\)を増減させることで制御できるので、\(\fbox{(イ)}\)=電機子電流です。
以上のことから、界磁電流\(I_f\)と、電機子電流\(I_a\)は独立した電源で制御することができることを示しました。
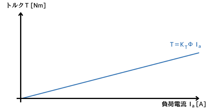
b 磁束一定の条件で \(\fbox{(イ)}\) を増減すれば、 \(\fbox{(イ)}\) に比例するトルクを制御できる。

左図は、磁束一定の条件で負荷電流を変化させた時の、他励直流電動機のトルクのグラフです。
トルク\(T[N・m]\)は、電機子電流\(I_a[A]\)に比例し、
\(T=K_T \Phi I_a\)
と、表すことが出来ます。
・\(K_T\):比例定数
・\(\Phi[Wb]\):界磁磁束
・\(I_a[A]\):電機子電流
このことから、bの文章においても、\(\fbox{(イ)}\)=電機子電流であることが確認できました。
c 磁束一定の条件で \(\fbox{(ウ)}\) を増減すれば、\(\fbox{(ウ)}\) に比例する回転数を制御できる。
他励直流電動機の回転数\(N[min^{-1}]\)は、
\(\displaystyle N=\frac{V-I_aR_a}{K \Phi}\)
と、表すことが出来ます。
この回転数の式を磁束一定の条件でグラフにすると、下図のようになります。
\(\fbox{(ウ)}\) 電機子電圧\(V\)を増減させると、電機子電圧に比例する回転数\(N\)のグラフは上下に平行に移動します。

・\(N[min^{-1}]\):回転数
・\(V[V]\):電機子電圧(端子電圧)
・\(I_a[A]\):電機子電流
・\(R_a[Ω]\):電機子抵抗
・\(K\):比例定数
・\(\Phi[Wb]\):界磁磁束
電機子電圧\(V\)を変化させることで、回転数\(N\)を変化させる方法を、電圧制御法と呼びます。
d \(\fbox{(ウ)}\) 一定の条件で磁束を増減すれば、ほぼ磁束に反比例する回転数を制御できる。回転数の \(\fbox{(エ)}\) のために \(\fbox{(ア)}\) を弱める制御がある。
次のグラフは、電機子電流\(I_a\)が一定の条件で、磁束\(\Phi\)を増減したときの回転数\(N\)のグラフです。

電機子電圧一定の条件で磁束を増減すると、磁束に反比例して回転数を制御できます。
界磁電流\(I_f\)を弱めることで、界磁磁束\(\Phi\)が弱まります。
界磁磁束\(\Phi\)が弱まることで、回転数\(N\)が \(\fbox{(エ)}\) 上昇します。
界磁磁束\(\Phi\)を変化させることで、回転数\(N\)を変化させる方法を、界磁制御法と呼びます。
以上より、(1)が正しい選択肢です。
出典元
一般財団法人電気技術者試験センター (https://www.shiken.or.jp/index.html)
令和2年度 第三種電気主任技術者試験 機械科目問題問1
参考書
イラストがとても多く、視覚的に理解しやすいので、初学者に、お勧めなテキストです。
問題のページよりも、解説のページ数が圧倒的に多い、初学者に向けの問題集です。
問題集は、解説の質がその価値を決めます。解説には分かりやすいイラストが多く、始めて電気に触れる人でも取り組みやすいことでしょう。
本ブログの管理人は、電験3種過去問マスタを使って電験3種を取りました。
この問題集の解説は、要点が端的にまとまっていて分かりやすいのでお勧めです。
ある程度学んで基礎がある人に向いています。
電験三種の領域をずっと超えた先の話を9割方しているので、電験三種の勉強の参考書としての購入はおすすめしません。
直流電動機について、ありとあらゆる事を書き記していった一冊です。
この本より詳しい本は少ないと思いますので、直流電動機の設計を学ぶ人に取っては良い本かと思われます。
感覚的には、研究論文化する内容ではないけど、後世には残しておきたいと思ったことをまとめたというような感じでしょうか。
文章の癖は強いので、もし買う場合はサンプルを読んでから購入することを推奨します。








コメント